Question Video The Written Form Of Decimal Numbers Nagwa free download including question video: the written form of decimal numbers nagwa objective to understand thousandths and ten thousands ppt download. Decimal numbers in standard form for hundredths youtube 5th grade decimal concepts ppt download. Write each of the following as decimals:five hundred twenty five and forty hundredths hundredths in a decimal representing definition examples. Write each of the following as decimals: five hundred twenty five and forty hundredths twelve and thirty five thousandths fifteen and seventeen thousandths eighty eight and forty eight hundredths prealgebra part 3 writing numbers from words youtube. Objective to understand thousandths and ten thousands ppt download decimals in written form thousandths video khan academy.
place value ppt download writing decimals in word form grade 5 youtube. Ppt decimal place value powerpoint presentation free download id:5787574 objective to understand thousandths and ten thousands ppt download. Writing a number in standard form video khan academy solved question 13 4 marks express the following numbers cheggcom. Write each of the following as decimals: i five and four tenths ii twelve and four hundredths iii nine and seven hundred five thousandths twenty eight hundredths who has one hundred five and four tenths ppt download. Question video: the written form of decimal numbers nagwa simple ways to write decimals in word form: 12 steps.
Question Video: The Written Form of Decimal Numbers | Nagwa
Objective - To understand thousandths and ten-thousands - ppt download
Decimal Numbers in Standard Form for Hundredths - YouTube
5th Grade Decimal Concepts - ppt download
Write each of the following as decimals:Five hundred twenty five and forty hundredths.
Hundredths in a Decimal | Representing, Definition, Examples
Write each of the following as decimals: Five hundred twenty five and forty hundredths Twelve and thirty five thousandths Fifteen and seventeen thousandths Eighty eight and forty eight-hundredths
Prealgebra - Part 3 (Writing Numbers from Words) - YouTube
Objective - To understand thousandths and ten-thousands - ppt download
Decimals in written form (thousandths) (video) | Khan Academy
Place Value. - ppt download
Writing Decimals in Word Form. Grade 5 - YouTube
PPT - DECIMAL PLACE VALUE PowerPoint Presentation, free download - ID:5787574
Objective - To understand thousandths and ten-thousands - ppt download
Writing a number in standard form (video) | Khan Academy
Solved Question 13 (4 marks) Express the following numbers | Chegg.com
Write each of the following as decimals: (i) Five and four tenths. (ii) Twelve and four hundredths. (iii) Nine and seven hundred five thousandths.
twenty-eight hundredths? Who has one hundred five and four tenths? - ppt download
Question Video: The Written Form of Decimal Numbers | Nagwa
Simple Ways to Write Decimals in Word Form: 12 Steps
Objective - To understand thousandths and ten-thousands - ppt download
Writing and Naming Decimals | Mathematics for the Liberal Arts Corequisite
Lesson Video: Decimals on Number Lines: hundredths | Nagwa
RD Sharma Solutions for Class 6 Chapter 7 Decimals avail free PDF
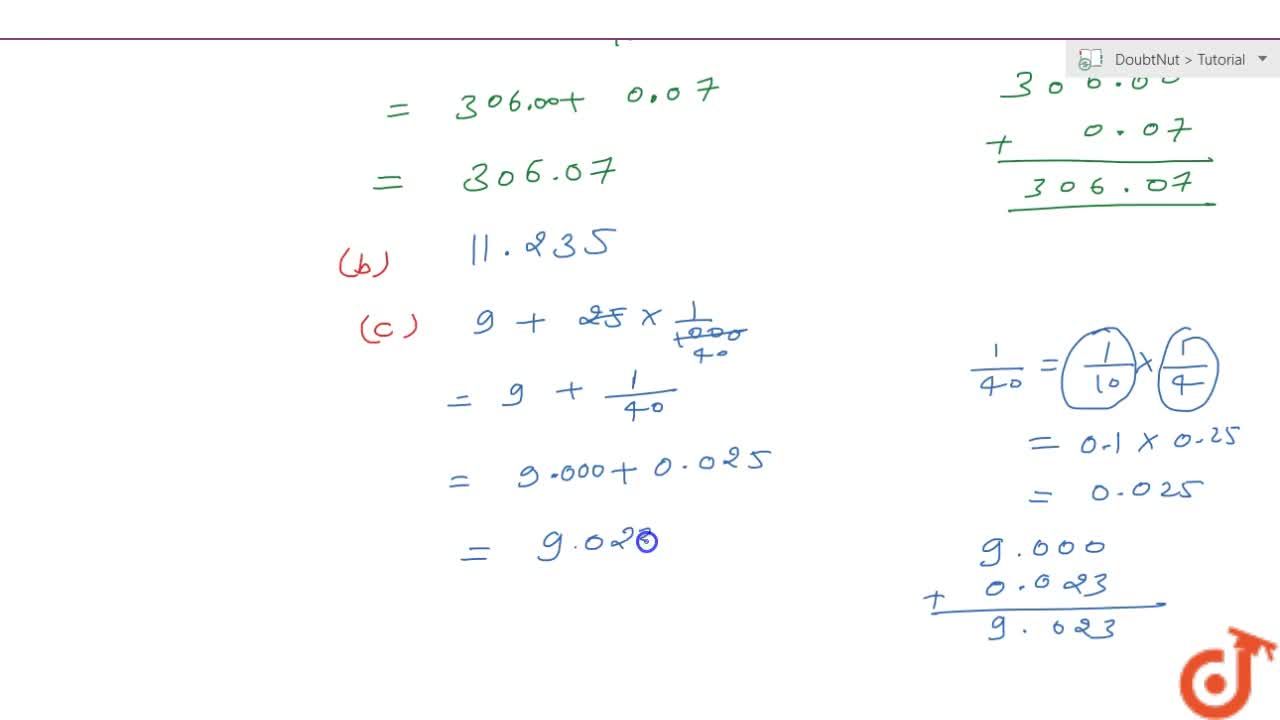
Write each of the following as a decimal. (a) Three hundred six and seven- hundredths. (b) Eleven point two three five. (c) Nine and twenty five thousandths
1 - Prelim Topic | PDF | Division (Mathematics) | Subtraction
Answered: 1. Five and three hundred ten… | bartleby
Decimal number in words (advance work worksheet
CITY OF NEWTON IN CITY COUNCIL December 2, 2019 WHEREAS, upon the recommendation of the Conservation Commission, the Community P
3 math 550_decimals_worksheets__2_
8.1 Other symbols for tenths and hundredths | The decimal notation for fractions | Siyavula
How to write three hundred ninety-eight and two thousandths in decimal form - Quora
ARTICLE 5. OPACITY REGULATIONS
B. Write the decimals below in standard form.1. two hundred forty-six ten thousandths -2. six and - Brainly.ph
FACTS/TIPS A decimal is a fraction written in a special form. It is a way of writing a number that is not a whole. Decimal num
Math learning materials for the basic decimals topics - Decimals Worksheets Decimal Place Values The - StuDocu
PPT - Reading & Writing Decimals PowerPoint Presentation, free download - ID:5764443
EXERCISE : A Write each in symbols, then give the value and place value of the underlined word / - Brainly.ph
Decimals Worksheets: Ones Tenths | PDF | Numbers | Fuel Economy In Automobiles
Positional notation - Wikipedia
Place Value Bulletin Board SetDefault Title in 2022 | Place values, Number words, Bulletin board sets
Place Value in Decimals | Accounting for Managers
objective to understand thousandths and ten thousands ppt download writing and naming decimals mathematics for the liberal arts corequisite. Lesson video: decimals on number lines: hundredths nagwa rd sharma solutions for class 6 chapter 7 decimals avail free pdf. Write each of the following as a decimal a three hundred six and seven hundredths b eleven point two three five c nine and twenty five thousandths 1 prelim topic pdf division mathematics subtraction. Answered: 1 five and three hundred ten bartleby decimal number in words advance work worksheet. Decimals city of newton in city council december 2 2019 whereas upon the recommendation of the conservation commission the community p.